本文来源于前瞻IPO微信公众号。


6月18日,证监会发行监管部对首次公开发行股票审核流程及沪市、深市主板首次公开发行股票企业基本信息情况表予以公示。
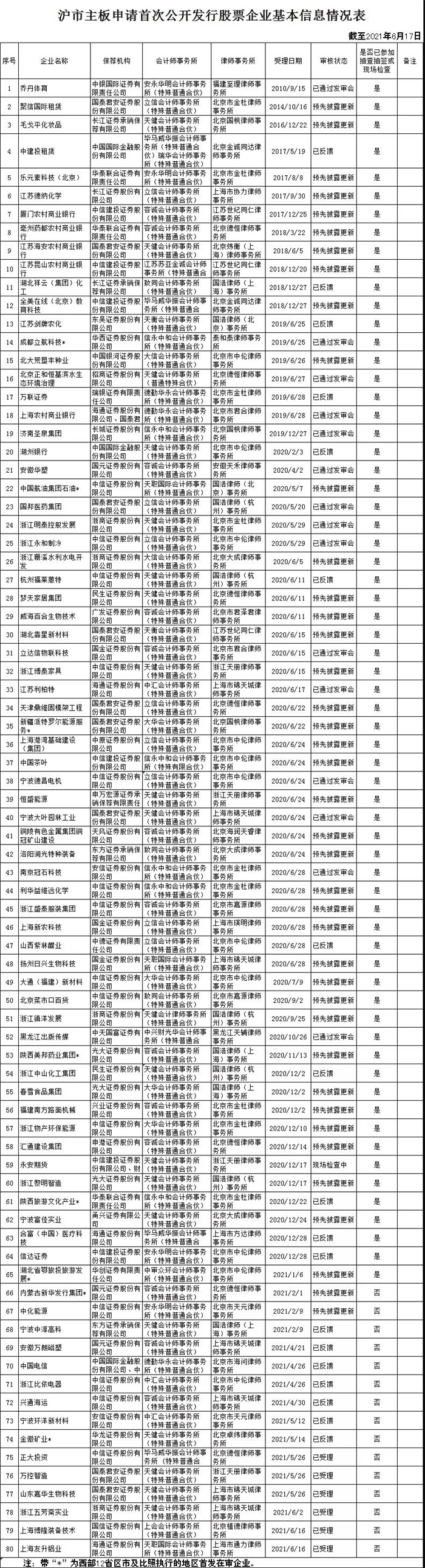
目前,沪市主板有80家企业排队,深市主板有56家企业排队,共136家。
其中,深市主板有江苏大丰农村商业银行、安徽马鞍山农村商业银行、广东南海农村商业银行、广东顺德农村商业银行,沪市主板有厦门农村商业银行、亳州药都农村商业银行、江苏海安农村商业银行、江苏昆山农村商业银行和上海农村商业银行,共9家农商行排队。

沪市主板有15家企业的审核状态为已通过发审会,深市主板则有4家已通过发审会。

自2021年以来,主板已经有15家企业申请终止审查,其中不乏天津同仁堂、美庐生物、万达商管、国台酒业等知名企业。
附:沪深主板IPO排队企业名单 & 2021年主板终止审查企业名单



关注前瞻IPO微信公众号,掌握最新IPO动态。22年中国IPO咨询领域沉淀、6600+细分行业监测、30余项数据专利平台,为您提供更权威的IPO服务。
品牌、内容合作请点这里:寻求合作 ››


让您成为更懂趋势的人
想看更多前瞻的文章?扫描右侧二维码,还可以获得以下福利:
下载APP
关注微信号
扫一扫下载APP
与资深行业研究员/经济学家互动交流让您成为更懂趋势的人
违法和不良信息举报电话:400-068-7188 举报邮箱:service@qianzhan.com 在线反馈/投诉 中国互联网联合辟谣平台
Copyright © 1998-2025 深圳前瞻资讯股份有限公司 All rights reserved. 粤ICP备11021828号-2 增值电信业务经营许可证:粤B2-20130734